この数体系を知ったきっかけは,0 から 1 までの値を取らない確率を扱うエキゾチック確率論という分野です.幻影数は,確率計算の前提である「確からしさ」が揺らいでいるような現象に対する確率モデルの中で使われているようでした.
1.幻影数環
幻影数は,複素数と似た体系です.幻影数は以下のような形で表されます.(この記号は参考文献[PP1]の記号を踏襲したものです).ここで $ \wp $ という記号がありますが,これは複素数で言うところの虚数単位 $ i $ に当たるもので,幻影単位と呼びます.
幻影数全体の成す環(加減乗ができる数体系)を $\mathbb{PH}(\rea) $ と表します.
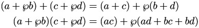
幻影数同士の演算は通常の多項式や複素数と同じようにできます.ただし幻影単位 $ \wp $ は
幻影数同士の演算は通常の多項式や複素数と同じようにできます.ただし幻影単位 $ \wp $ は
環論に詳しい人に対して説明すると, $ \mathbb{PH}(\rea) $ は環としては $ \rea[X]/(X^2-X) $ と環同型になっています. $ \rea[X]/(X^2-X) $ とは,実数係数多項式全体の成す環 $ \rea [X] $ において, $ X^2-X=0 $ という条件の下で一致するような2つの要素は同じものとみなした環です.
このような数体系の構成の仕方はよくあり,例えば複素数 $ \com $ は $ \rea[X]/(X^2+1) $ ですし,分解型複素数と二重数はそれぞれ $ \rea[X]/(X^2-1) $ と $ \rea[X]/(X^2) $ です.
このような数体系の構成の仕方はよくあり,例えば複素数 $ \com $ は $ \rea[X]/(X^2+1) $ ですし,分解型複素数と二重数はそれぞれ $ \rea[X]/(X^2-1) $ と $ \rea[X]/(X^2) $ です.
具体的に $ \mathbb{PH}(\rea) $ がどのような数体系になっているのか,若干の性質を調べてみましょう.
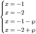
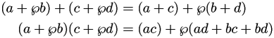
まず $ \mathbb{PH}(\rea) $ には零因子が存在します.つまり
零因子が存在することによって,普通の計算にいくつかの支障がでます.例えば
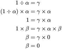
また,零因子によって除算することはできません.いま $\alpha\neq 0,\beta\neq 0$ を零因子である幻影数とし,
このように零因子は少し厄介な存在です.
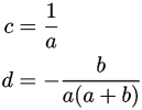
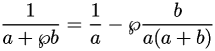
次に,逆数を持つような幻影数を調べてみます.すなわち $ a+\wp b $ に対して
となる $ \gamma\in\mathbb{PH}(\rea) $ が存在するような, $ a+\wp b $ の条件を求めてみます.先ほど述べたとおり,零因子には逆数が存在しませんから,これによって $a+\wp b$ が零因子にならない必要条件も求められます.
$ \gamma =c+\wp d $ とすると $ (a+\wp)\cdot\gamma =1 $ は
幻影共役の定義は,一見すると複素共役とは異なります.しかし次のように考えると,これらの共役は同じ考え方から来ていることが分かります.
まず,複素数における虚数単位 $ i $ は
を満たすものです.この方程式を満たすものは他に $ -i $ もあります.共役とは, $ i $ という数を,「それを定義するための方程式( $ X^2+1=0 $ )」のもう一つの解 $ -i $ に置き換える操作だと考えます.
これと同じことを幻影数環 $ \mathbb{PH}(\rea) $ に適用してみます.幻影単位 $ \wp $ は方程式
を満たすようなものです.この方程式を満たすものは他に $ 1-\wp $ があります. $ \mathbb{PH}(\rea) $ の共役は $ \wp $ を, $ X^2-X=0 $ のもう一つの非実数解 $ 1-\wp $ に入れ替える操作と定義されます.実際この操作によって $a+b\wp$ は $(a+b)-\wp b$ に入れ替わります.
これで,共役も複素数のときの類似になっていることがわかります.
これは体論の代数拡大の文脈で登場する「代数共役」という考え方が土台にあります.(正確には幻影数環 $\mathbb{PH}(\rea)$ は体になっていません)
このように $ \mathbb{PH}(\rea) $ に共役を定義することによって
2.幻影確率論
幻影数がどのように確率論に応用されているのか.私もまだ勉強中で,おおざっぱなことしかいえませんが,以下のようなことだと考えられます.
通常の確率は必ず $ 0 $ から $ 1 $ までの実数値をとりますが,幻影確率論というのは,上に紹介したような幻影数 $ \mathbb{PH}(\rea) $ に値をとります.そして幻影数 $ a+\wp b $ の幻影部に,古典的な確率論とは違う意味を持たせているらしいのです.
厳密には,確率は $ \mu(\Omega)=1 $ となるような測度空間 $ (\Omega,\mathcal F,\mu) $ において, $ \mathcal F $ の要素 $ A $ に対する $ \mu(A) $ の値として定義されるものでした.確率を表す測度 $ \mu:\mathcal F\to [0,1] $ の値域を $ \mathbb{PH}(\rea) $ に設定することによって,幻影確率空間 $ (\Omega,\mathcal F,\mu) $ を考えることができるようになります.
文献 [PP1] を参照すると,以下のような例が見受けられました:『アンフェアなコインがあり,このコインの表がでる確率は $ 0.4 $ から $ 0.6 $ まで試行の度に変動するとします.このような状況を表す幻影確率空間のモデル $ (\Omega,\mathcal F,\mu) $ として
通常の確率は必ず $ 0 $ から $ 1 $ までの実数値をとりますが,幻影確率論というのは,上に紹介したような幻影数 $ \mathbb{PH}(\rea) $ に値をとります.そして幻影数 $ a+\wp b $ の幻影部に,古典的な確率論とは違う意味を持たせているらしいのです.
厳密には,確率は $ \mu(\Omega)=1 $ となるような測度空間 $ (\Omega,\mathcal F,\mu) $ において, $ \mathcal F $ の要素 $ A $ に対する $ \mu(A) $ の値として定義されるものでした.確率を表す測度 $ \mu:\mathcal F\to [0,1] $ の値域を $ \mathbb{PH}(\rea) $ に設定することによって,幻影確率空間 $ (\Omega,\mathcal F,\mu) $ を考えることができるようになります.
文献 [PP1] を参照すると,以下のような例が見受けられました:『アンフェアなコインがあり,このコインの表がでる確率は $ 0.4 $ から $ 0.6 $ まで試行の度に変動するとします.このような状況を表す幻影確率空間のモデル $ (\Omega,\mathcal F,\mu) $ として
のようなものを考えることができる』.
ここから察するに,幻影数の幻影部分は確率論において,確からしさのゆらぎであると解釈できるのかもしれません.
また文献[PP1]では,「確からしさの情報が一切ない」という状況を示す確率空間も考えられており,その場合,幻影部は $ 1 $ になっています.
ここから察するに,幻影数の幻影部分は確率論において,確からしさのゆらぎであると解釈できるのかもしれません.
また文献[PP1]では,「確からしさの情報が一切ない」という状況を示す確率空間も考えられており,その場合,幻影部は $ 1 $ になっています.
3.参考ページ・文献
エキゾチック確率論(非実数値確率論)の文献を集めたページがこちらです:Saul Yourssef, “Exotic Probability Theories and Quantum Mechanics: References”幻影数と幻影確率論について詳しく解説した文献がこちらです:
[PP1] Yehud Izhakian, Zur Izhakian(2009) “Phantom Probability”

























コメント
コメントを投稿